欧陆娱乐
简体中文
English
首页
公司简介
新闻中心
产品与服务
技术支持
应用领域
联系我们
首页
公司简介
新闻中心
产品与服务
技术支持
应用领域
联系我们
English
产品与服务
硅烷偶联剂 SCA
钛(锆、铝)酸酯偶联剂 TCA
粉体偶联剂 DLC
附着力促进剂 ADP
润湿分散剂 WDA
粉末涂料用偶联剂 PCA
塑料发泡载体 PPC
XLPE用干硅烷 DS
XLPE用复合硅烷 FS
不饱和羧酸金属盐助硫化剂 UCS
硅烷低聚物和水解物
硅烷低聚物和水解物
产品型号
化学名称
CAS号
化学结构式
SCA-HE87M
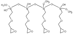
SCA-HE87M 环氧基硅烷低聚物
SCA-OV17C
乙烯基硅烷水解低聚物,2-甲氧基乙氧基硅烷
SCA-OV17E
乙烯基硅烷水解低聚物,乙氧基硅烷
SCA-OV17M
乙烯基硅烷水解低聚物,甲氧基硅烷
SCA-HA51E 3-氨丙基三烷氧基硅烷的水解物 58160-99-9
3-氨丙基三烷氧基硅烷的水解物
58160-99-9
SCA-HA46M
双氨基硅烷和烷基硅烷的水解低聚物
公司简介
应用领域
新闻中心
联系我们
技术支持
产品与服务
025-86371192、86371193
025-86371191转0
sales@hzypgyp.com
南京市栖霞区灵山北路18号兰德产业园 210023
版权所有 2017 南京欧陆娱乐新材料技术有限公司
恒网承建
X 关闭
欧陆娱乐 欧陆娱乐 欧陆娱乐